LolPests: A study on Device Usage.
- Yosh_Devs

- Dec 11, 2023
- 3 min read
Updated: Dec 17, 2023
The main question of this study is How do the usage of desktops, laptops, tablets, and smartphones differ among the students of the College of Computer Studies, excluding Associate in Computer Technology, at Gordon College?
Objective:
The question aims to understand how students in Gordon College's College of Computer Studies, excluding those in the Associate in Computer Technology program, utilize various devices (desktops, laptops, tablets, and smartphones) for their learning needs. This information can be used to improve teaching methods, assess technological requirements, promote digital equity, provide targeted support, identify potential learning barriers, understand emerging technology trends, and evaluate new technologies, ultimately aiming to enhance the student experience and foster academic success.
Dataset:
The dataset was composed of students in the College of Computer Studies at Gordon College, specifically those majoring in Bachelor of Science in Computer Science (BSCS), Bachelor of Information Technology (BSIT), and Bachelor of Science in Entertainment and Multimedia Computing (BSEMC).
Results:
We have gathered a total of 54 respondents for this Data Analytics Project.
When writing reports, the majority of individuals in the field of Computer Studies tend to select laptops as their preferred device, with an average preference rate of 57.41%. This data indicates a strong inclination towards using laptops for academic and professional purposes within the realm of Computer Studies.
When conducting research, the laptop is the most preferred device in Computer Studies, with an average usage rate of 55.56%. This suggests that the majority of individuals within the field favor laptops as their primary device for academic and professional activities, showcasing the prominence of this technology in the domain of Computer Studies.
When coding, the laptop stands out as the most preferred device within the field of Computer Studies, boasting an impressive average usage rate of 59.26%. This trend underscores the widespread reliance on laptops for coding tasks within the domain of Computer Studies.
Likert scales
The average of laptop usage for academic activities within the field of Computer Studies is calculated at 3.907, 4 and 5 being the most picked choices.
The average of desktop usage for academic activities in the field of Computer Studies is calculated at 3.019. the most frequently selected choices for this activity are 1 and 5, indicating the prevalence of these specific usage patterns among individuals studying Computer Studies.
The average of tablet usage for academic activities in the field of Computer Studies is calculated at 1.333. the most frequently selected choice for this activity is 1.
The average of Smartphone usage for academic activities in the field of Computer Studies is calculated at 3.944. the most frequently selected choices for this activity is 3, 4, and 5.
Conclusion:
The device with the highest average for academic activities was the smartphone, with an average of 3.944. Following closely behind is the laptop, with an average of 3.907. These statistics underscore the significant role that smartphones and laptops play in supporting academic pursuits within the context of this study. This data highlights the widespread reliance on these devices for educational activities in the field.
Part 2
Most respondents came from BSCS.
All Respondents Have an Access to Smartphones:
By grouping the courses, we could identify which devices students are comfortable and efficient in using.
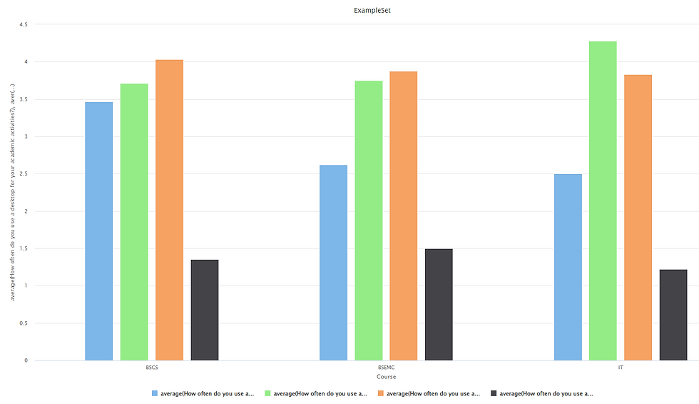
The table above shows that across all courses, students do not feel efficient using a tablet for academic activities. However, all courses find laptops efficient. We can also see that in BSCS, the next most popular device after the laptop is the desktop, while in IT, it is the smartphone.
The table above shows that the most comfortable device for students in BSCS is the desktop, while the most comfortable device for students in IT is the laptop. In BSEMC, the laptop and desktop are equally comfortable. We can also notice that the tablet is not used for comfort in doing academic activities.
The table above shows that the most used device for academic activities for students in BSCS and BSEMC is the smartphone, while for students in IT, it is the laptop. Notably, the least used device across all courses is the tablet.
The pie chart above shows the preferred device for coding, researching, and writing reports. The laptop was the most preferred device across all courses.
Conclusion:
In Conclusion, This study reveals that while smartphones are universally utilized by students in Gordon College's College of Computer Studies, laptops reign supreme for comfort, efficiency, and academic tasks like coding, research, and report writing. Tablets, however, see limited adoption. Interestingly, the majority of participants were third-year students, highlighting the need for further research among other year levels to gain a more comprehensive understanding of device usage across the student body. These findings hold valuable implications for the college to develop strategies that cater to student preferences and ensure equitable access to technology resources, ultimately enhancing the learning experience for all.

















Comments